Berikut ini merupakan soal mengenai pangkat akar dan logaritma soal standar dengan tingkat lots dan mots yang dikutip dari berbagai sumber referensi. Postingan ini membahas tentang contoh soal operasi bentuk akar dan penyelesaiannya atau pembahasannya.
Contoh Soal Bentuk Akar Contoh Soal 1
Bulat fungsi garis himpunan kelas 7 kelas 8 kelas 9 kesebangunan lurus pecahan pembahasan perbandingan persamaan segiempat segitiga smp soal splsv.
Contoh soal un bentuk akar dan penyelesaiannya. Contoh soal dan pembahasan tentang bentuk akar contoh soal dan pembahasan tentang merasionalkan bentuk akar contoh soal dan pembahasan tentang penjumlahan bentuk akar contoh soal dan pembahasan. Akar dapat dijumlahkan atau dikurang jika bilangan dalam akar sama misalkan 2 2 2 2. Matematika materi matematika sma bentuk pangkat akar dan logaritma artikel kali ini akan mempelajari tentang operasi bentuk akar untuk memahaminya pahami contoh soal dan cara pengerjaannya.
Soal soal berikut masing masing telah disediakan pembahasannya. Contoh soal persamaan kuadrat ini disusun dalam bentuk pilihan berganda dan dirancang sedemikian berdasarkan beberapa subtopik yang paling sering keluar dalam kajian persamaan kuadrat untuk tingkat menengah pertama. Bentuk akar sama seperti bilangan lainnya yaitu dapat dijumlahkan dikurang dikali ataupun dibagi.
Contoh Soal Dan Pembahasan Tentang Bentuk Akar Ajar Hitung
Pembahasan Soal Un 2012 Bentuk Pangkat Akar Dan Logaritma
Matematika Smp Cara Menyederhanakan Bentuk Akar Dan
Kumpulan Soal Bentuk Pangkat Dan Akar
Kumpulan Soal Bentuk Pangkat Dan Akar
Pembahasan Soal Un 2012 Bentuk Pangkat Akar Dan Logaritma
Contoh Soal Operasi Bentuk Akar Dan Penyelesaiannya
Bank Soal Dan Pembahasan Matematika Dasar Bentuk Akar
Ruang Belajar Siswa Kelas 6 Contoh Soal Bilangan Berpangkat
Pembahasan Un Matematika Smp 2018 No 6 Menyederhanakan Bentuk Akar
Contoh Soal Bilangan Berpangkat Matematika Smp Dan
Latihan Bilangan Berpangkat Dan Bentuk Akar Matematika
Soal Un Matematika Smp Tahun 2014 Dan Pembahasannya
Contoh Soal Dan Pembahasan Tentang Bentuk Akar Ajar Hitung
Soal Dan Pembahasan Matematika Bentuk Pangkat Dan Akar 6 10
Pembahasan Soal Un Matematika Smp Mts 2015 2016 Bale
Soal Un Matematika Sma Tahun 2014 Dan Pembahasannya
Os2kangkung Soal Dan Pemb Un Matematika Bab Bentuk Pangkat
Berikan 5 Contoh Soal Tentang Merasionalkan Penyebut Akar
Prediksi Un Matematika Sma 2017 Bentuk Akar Part 01
Kumpulan Soal Bentuk Pangkat Dan Akar
Bentuk Pangkat Dan Akar 10 Sma
Matematika Smp Cara Menyederhanakan Bentuk Akar Dan
Latihan Bilangan Berpangkat Dan Bentuk Akar Matematika
Soal Merasionalkan Penyebut Pecahan
Contoh Soal Bentuk Akar Kelas 9
Materi Uan Sma Ips Matematika Pangkat Akar Dan Logaritma
Kumpulan Soal Un Matematika Smp Mts Persiapan Ujian Nasional
2 Operasi Perkalian Dan Pembagian Bentuk Akar Pembahasan Soal Un Matematika Smp Tahun 20017
Contoh Soal Dan Pembahasan Merasionalkan Bentuk Akar Pecahan
Bentuk Akar Akar Sekawan Idschool
Doc Bab 1 Pangkat Akar Dan Logaritma Rizky Pratama
Mau Sukses Un 2019 Yuk Pelajari Latihan Soal Dan
Pembahasan Latihan Soal Eksponen Dan Bentuk Akar Sma
Perpangkatan Dan Bentuk Akar Materi Dan Contoh Soal
Contoh Soal Pangkat Dan Akar Kelas 9 Smp Plus Kunci Jawaban
Rumah Ceria Matematika Cara Menyelesaikan Soal Pangkat Dan
Koleksi Soal Un Tahun 2000 2007 Materi Pokok Bentuk
Tentukan Hasil Perkalian Dan Pembagian Bentuk Akar Berikut A
Pembahasan Soal Matematika Ipa Ujian Nasional Sma 3
Latihan Soal Ujian Nasional 2019 Matematika Smp Dan
Bilangan Pangkat Pecahan Pengertian Rumus Sifat Operasi
Cara Mudah Mengerjakan Soal Limit Fungsi Aljabar Bentuk Tak
Soal Dan Pembahasan Bentuk Akar Tak Hingga 1 3 Istana
Cara Merasionalkan Penyebut Bentuk Akar Pangkat Tiga
Bilangan Bentuk Akar No 33 35 Prediksi Soal Unbk Matematika Smp Mts
Eksponen Materi Contoh Soal Dan Penyelesaian Soalujian Net
Rumus Limit Matematika Fungsi Tak Hingga Contoh Soal
1 Soal Soal Perpangkatan Dan Bentuk Akar Pdf
Rangkuman Contoh Soal Pembahasan Eksponen Logaritma
Pembahasan Soal Un Matematika Bilangan Berpangkat
1 Soal Soal Perpangkatan Dan Bentuk Akar
Bentuk Akar Akar Sekawan Idschool
Contoh Soal Bilangan Berpangkat Bulat Positif Negatif Dan
Matematika Kelas 9 100institute
Rumus Limit Matematika Fungsi Tak Hingga Contoh Soal
Contoh Soal Integral Tentu Tak Tentu Substitusi Parsial
Soal Soal Bilangan Irrasional Bentuk Akar 1 Bentuk
6 Cara Untuk Menyederhanakan Ekspresi Akar Wikihow
Contoh Soal Ucun Matematika Smp 2019 Mgmp Dki Prediksi Unbk
Latihan Soal Un Pangkat Akar Dan Logaritma
Contoh Soal Bilangan Berpangkat Bulat Positif Negatif Dan
Limit Dengan Pemfaktoran Dan Perkalian Sekawan
Pembahasan Soal Un 2012 Bentuk Pangkat Akar Dan Logaritma
Latihan Pembahasan Soal Un Smp Math 2019
Cara Menyelesaikan Pertidaksamaan Rasional Atau
Contoh Soal Pangkat Dan Akar Kelas 9 Smp Plus Kunci Jawaban
Pelajaran Soal Rumus Bentuk Pangkat Pecahan Wardaya College
Bilangan Berpangkat Dan Bentuk Akar Matematika Smp
Cara Merasionalkan Pecahan Bentuk Akar
Naskah Soal Un Matematika Smk Bidang Akuntansi Dan Pemasaran
Contoh Soal Bilangan Berpangkat Dan Bentuk Akar Kelas 9
Soal Dan Pembahasan Persamaan Irasional Bentuk Akar
Sifat Serta Operasi Bentuk Akar Rumus Matematika
Rangkuman Contoh Soal Pembahasan Persamaan Kuadrat
Materi Pengayaan Soal Ujian Nasional Matematika Smp 2018
Tips Belajar Menghadapi Un Sma Matematika Ipa Zenius Blog
Soal Fungsi Turunan Matematika Dan Jawaban Soal Utbk
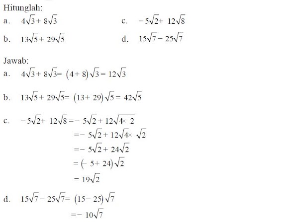
Contoh Soal Dan Jawaban Operasi Penjumlahan Pengurangan Perkalian Dan Pembagian Bentuk Akar
Contoh Soal Merasionalkan Penyebut Dan Pembahasan
Doc Bab 1 Akar Pangkat Dan Logaritma Fixs Banget Atsnan
Cara Merasionalkan Penyebut Pecahan Bentuk Akar Beserta
Ringkasan Materi Dan Prediksi Soal Un Matematika Smp Tahun
Cara Menyelesaikan Limit Tak Hingga Bentuk Akar Ilmu Hitung
Contoh Soal Unbk Smp 2019 Dan Kunci Jawabannya
Soal Soal Hots Yang Bikin Siswa Pusing Itu Penting Tirto Id
Rumus Integral Substitusi Contoh Soal Beserta Pembahasannya
Soal Fungsi Turunan Matematika Dan Jawaban Soal Utbk
Pelajaran Soal Rumus Bentuk Pangkat Pecahan Wardaya College
Panduan Belajar Un Sma Matematika Ipa 2019 Zenius Blog
Bilangan Berpangkat Bentuk Akar Dan Logaritma Judul Situs
Pembahasan Latihan Soal Eksponen Dan Bentuk Akar Sma
Bilangan Berpangkat Dan Bentuk Akar Matematika Smp
Contoh Soal Un Matematika Sma Integral Fungsi Aljabar
Materi Matematika Kelas 9 Smp Mtsn Bab 5 Pangkat Dan Akar
Bab Bentuk Pangkat Akar Dan Logaritma

